
This component simulates a differential pole function in the discrete domain. The component is triggered by the 2-element, interpolated Enable/Disable port signal. The user has the ability to reset the output to a user-specified value at any executed instance. If the Reset signal is received between two execution steps, the output will be reset at the next execution step.
The solution method for this function is as follows:

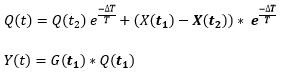
Where,
|
Output signal |
|
Time at last execution |
|
Time at execution, before the last execution |
|
Input signal at last execution |
|
Output generated at execution, before the last execution |
|
Gain at last execution |
|
|
|
Time constant at last execution |
If T = 0, Q(t) = 0.
More: |
Derivative with a Time Constant (Z-Domain) |