
This component models a multi-valve, half-bridge MMC with Thévenin equivalent circuits, which effectively increases the computational efficiency [42] [43].
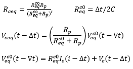
The equivalent resistive circuit for a half-bridge cell has been derived as shown below:

With:

The RA and RB stand for the equivalent switching resistances of the two IGBT/Diode pairs [42]. And thus, the final equivalent circuit parameters for the half-bridges are given by:

FP1: Required switching signals for the upper IGBT
FP2: Required switching signals for the lower IGBT
VC: Array of capacitor voltages
IC: Array of capacitor currents
More: |