The Frequency Dependent (Phase) Model
The Frequency Dependent (Mode) Model
In the Line Constants Program, curve fitting is the final step in the process of solving a frequency-dependent transmission system. The primary purpose of the fitting routine is to consider a set of frequency domain response points, and fit this data with a low order, rational function approximation.

Figure 8-21: Characteristic Admittance Magnitude: Calculated vs. Fitted
NOTE: Figure 8-21 illustrates this concept for the characteristic admittance YC(s) verses log(f). Here the average RMS fitting error is about 0.2%.
This linear expression is then provided to EMTDC, so that it may be convolved into the time domain and used to produce an equivalent, two-port interface to the EMTDC electric network. The particulars of this circuit formulation are model dependent, and are described in the section EMTDC Distributed Branch Interface later in this chapter.
Both of the frequency-dependent models in PSCAD utilize a method for rational fitting of frequency-domain responses called Vector Fitting.
The vector fitting algorithm was first developed by Bjørn Gustavsen and Adam Semlyen in 1996, and the source was made available to the public soon after. It is the core of the Line Constants Program curve fitting algorithm and is now used for both the Frequency Dependent (Mode) and the Frequency Dependent (Phase) models.
NOTE: A quick overview of the vector fitting process is provided here: If the reader would like a more detailed account, please see Reference [21], or visit www.sintef.no.
Generally speaking, the vector fitting algorithm takes a nonlinear, rational approximation of the form,
|
|
Where,
|
|
Residues (can be complex) |
|
|
Poles (can be complex) |
|
|
Real constants |
And rewrites it as a linear problem of type Ax = b, and then determines the poles and zeros.
Given a reasonable set of starting poles
, f(s) is multiplied by an unknown function g(s), and a rational approximation equation for g(s) is introduced:
|
|
(8-62) |
Equation 8-62 can be rewritten as:
|
|
(8-63) |
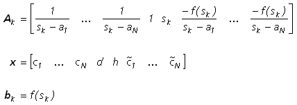
Equation 8-63 is linear with unknowns cn, d, h and
, and may be written in the form Akx = bk for a range of frequency points, where:
|
|
(8-64) |
The unknown quantities are then solved as a least squares problem.
With the unknown quantities solved, a rational approximation of f(s) can be derived from Equation 8-63. This is clear if rewritten as follows:
|
|
(8-65) |
|
|
(8-66) |
|
|
(8-67) |
Equation 9-60 illustrates that the poles of f(s) become equal to the zeroes of gfit(s). Therefore, the poles of f(s) can be determined more economically by instead solving the zeros of gfit(s). This same procedure can be used to solve for the residues cn of f(s). See reference [21] for more details on Vector Fitting.
The Frequency Dependent (Phase) model is based on what is referred to as the Universal Line Model concept described in references [20], [22] and [23]. This model requires that two separate parameters be fitted: The characteristic admittance YC(s) and the propagation function H(s).
Fitting of the propagation function H(s) is essentially a two-step process. First, the modes of H(s) as given by:
|
|
(8-68) |
Where,
|
|
The current eigenvector matrix |
|
|
The modal propagation matrix |
are used to derive an upper frequency limit W, so that a time delay t for each mode can be calculated:
|
|
(8-69) |
NOTE: See Reference [22] for more details on calculating the time delay t.
Where,
|
|
Modal time delay [s] |
|
|
A value derived by Bode [4] |
|
|
The transmission system length [m] |
|
|
Modal velocity [m/s] |

Figure 8-22 – Finding the Upper Frequency Limit based on the Magnitude of Hm
The time delays extracted for each mode are then compared. Modes with very similar time delays are sorted into groups called delay groups, where further analysis is performed on a delay-group basis. This grouping of like modes helps to increase the speed of the fitting solution for H(s) by effectively reducing the number of modes. This is especially effective in systems with geometric symmetry.
The group time delay is then used to 'back-wind' each respective delay group. The back-wound modal propagation function is then fitted as follows:
|
|
(8-70) |
The resulting poles from this fit are used as starting poles in fitting H(s) in the phase domain:
|
|
(8-71) |
Where,
|
|
The number of delay groups |
The poles of the different modes may, in some instances, be similar due to the fact that the modes are fitted independently. Instabilities may occur in the time domain if these similarities occur at low frequencies, and so a warning is given if the ratio between phase domain residues and poles is greater than 100. This can be improved by decreasing the fitting order of magnitude (i.e. decreasing the maximum number of poles).
Fitting of the characteristic admittance YC(s) is a relatively straight-forward procedure when compared to that of H(s). Since YC(s) possesses no time delays, and good starting poles can be found by fitting the sum of all modes. However, due to the relation,
|
|
(8-77) |
Where,
|
|
A square matrix |
|
|
Eigenvalues of A |
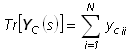
all that is needed is to sum the diagonal elements of YC(s). The resulting sum as a function of frequency is referred to as the trace of YC(s), or:
|
|
(8-78) |
This function is approximately fitted by,
|
|
(8-79) |
NOTE: The proportional term h as shown in Equation 8-61 is set to zero in Equation 8-79 due to the fact that the characteristic admittance YC(s) normally converges to a constant value.
The resulting poles from this approximation are then used as starting poles for fitting the actual elements of YC(s) in the phase domain, again using 8-79.
The Frequency Dependent (Mode) model utilizes methods quite different from the Frequency Dependent (Phase) model described above. It relies on a rational function approximation of different parameters; these being the attenuation function A(s) and the characteristic impedance Z0(s).