Frequency Dependent (Mode) Model
Frequency Dependent (Phase) Model
Like the Bergeron model described above, the Frequency-Dependent (FD) models are distributed traveling wave models. However, the system resistance R is distributed across the system length (along with L and C) instead of lumped at the end points. More importantly, the FD models are solved at a number of frequency points, thereby including the frequency dependence of the system.
Two Frequency-Dependent models are available in PSCAD: The Frequency Dependent (Phase) model is the most accurate, as it considers the frequency dependence of internal transformation matrices (thereby accurately representing unbalanced, as well as balanced systems). The older Frequency Dependent (Mode) model assumes a constant transformation and therefore only accurate when modeling balanced systems. For systems consisting of one or two conductors, the two models will give identical results (as the transformation is constant anyway). This is also true for 3-phase, delta configurations (located at a high distance from ground level) and any ideally transposed circuits.
The Frequency Dependent (Phase) model is numerically robust and more accurate than any other commercially available line/cable model, and thus, is the preferred model to use. The FD (Phase) model will of course provide a much more accurate representation of any transmission system than that offered by the Bergeron model.
The Frequency Dependent (Mode) model is based on methods described in [13]. The model utilizes a constant (or frequency-independent) modal transformation matrix to de-couple multiple-phase systems into separate, mutually exclusive modes. Each mode is thereafter treated as a single-phase circuit. Although classified as 'frequency-dependent', this model is exact in its frequency dependence only for geometrically balanced transmission systems, such as ideally transposed circuits or any other systems where a naturally occurring, constant modal transformation matrix occurs.
In the formulation of a time domain equivalent circuit for the Bergeron model, the expressions were solved in a relatively straightforward manner. However, when considering frequency dependencies, these expressions are next to impossible to formulate directly. It is therefore most convenient to first work in the frequency domain, where an exact solution for a given frequency can be easily derived.

Figure 8-39: Voltages and Currents in a Single-Phase, Overhead Transmission Line
Consider a single-phase of a transmission system as illustrated in Figure 8-39. In the frequency domain, the voltages and currents at one end of the line may be represented in terms of the voltage and current at the other end in the following exact general equation:
|
|
(8-96) |
Where,
|
|
|
|
|
|
|
|
The system series impedance and shunt admittance in per-unit length |
|
|
The transmission system length |
Using a method similar to that described for the Method of Characteristics, forward and backward traveling wave weighting functions Fk, Fm and Bk, Bm (see [8, 13]) are introduced. If the system is assumed to be terminated by an equivalent network whose frequency response is identical to the characteristic impedance Z0(w), then the forward and backward traveling wave functions can be expressed in the frequency domain as:
|
|
(8-97) |
|
|
(8-98) |
And similarly,
|
|
(8-99) |
|
|
(8-100) |
Comparing Equations 8-97 and 8-100 with 8-101:
|
|
(8-101) |
|
|
(8-102) |
Where,

is sometimes referred to as the attenuation function and is a complex number. The real part of A(w) is the attenuation constant, and the imaginary part is the phase constant.
The time domain form of Equations 8-101 and 8-102 can be arrived at through the convolution integrals:
|
|
(8-103) |
|
|
(8-104) |
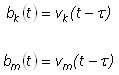
Note that the lower limit of the integral in Equations 8-103 and 8-104 is the travel time t, because the fastest frequency component of an impulse at one end of the transmission system will not reach the other end until this time has elapsed.
Equations 8-103 and 8-104 show that the values of bk(t) and bm(t) can be defined entirely by historical values of fm(t) and fk(t) (provided that the time step Dt < t). Therefore,
|
|
(8-105) |
And,
|
|
(8-106) |
The equations above can be converted to a modal representation and illustrated schematically as in Figure 8-40.

Figure 8-40 – EMTDC Frequency Dependent (Mode) Model Time Domain Interface
In the 1990's, the need for a transmission line model that could accurately simulate both the undesirable interactions between DC and AC lines, as well as the widely varying modal time delays of underground cables, became more significant. Constant transformation matrix models with frequency dependent modes, such as the Frequency Dependent (Mode) model in PSCAD, dealt with the modal time delay problem in cable systems through modal decomposition techniques, but had proven to be unreliable in accurately simulating systems with unbalanced line geometry (such as AC/DC systems).
In 1999, the Universal Line Model (ULM), based on the theory originally proposed in [22], was incorporated into PSCAD to address these shortcomings, thereby providing a general and accurate frequency dependent model for all underground cables and overhead line geometries. This model (otherwise known as the Frequency Dependent (Phase) model) and its practical implementation into EMTDC is described in [23].
The Frequency Dependent (Phase) model operates on the principle that the full frequency-dependence of a transmission system can be represented by two matrix transfer functions: The propagation function H, and the characteristic admittance YC.

Figure 8-41 – Voltages and Currents in an N-Conductor Transmission Line
Given Figure 8-41, the following can be derived directly from the 'telegrapher’s equations' (i.e. equations 8-2 and 8-3) as follows:
|
|
(8-107) |
|
|
(8-108) |
Where,
|
|
Propagation function matrix |
|
|
Characteristic admittance matrix |
And,
|
|
The node voltage vectors at ends k and m |
|
|
The injected current vectors at ends k and m |
|
|
The incident current vectors at ends k and m |
|
|
The reflected current vectors at ends k and m |
H and YC are calculated multiple times by the LCP at discrete points in the frequency domain, and then approximated and replaced by equivalent low order rational functions (see Curve Fitting in this chapter for more details). This technique allows for the use of recursive convolution techniques in EMTDC for migration into the time domain, which have proven much more computationally efficient than performing convolution integrals directly [9].
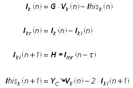
The Frequency Dependent (Phase) model is interfaced to the EMTDC electric network by means of a Norton equivalent circuit, as shown below:

Figure 8-42 – EMTDC Frequency Dependent (Phase) Model Time Domain Interface
The history current source injections Ihisk and Ihism are updated each time step, given the node voltages Vk and Vm, as calculated by EMTDC. The steps by which this is accomplished by the Frequency Dependent (Phase) Model time-domain interface routine is as given in below:
|
|
(8-109) |
Where,
|
|
Denotes incident waves |
|
|
Denotes reflected waves |
|
|
Indicates a convolution integral |
For a more detailed description of this method including the convolution integration, see [23].