Representation of Lumped R, L and C Elements

As described in [1], the principle method for the analysis of lumped inductors and capacitors in EMTDC is through their representation by a resistance in parallel with a current source as shown below:

 

 

Figure 3-1 - Representation of lumped L and C elements

 

The equivalent circuits of Figure 3-1 are essentially a numerical representation of the ordinary differential equations, solved for discrete intervals.  The trapezoidal rule is used for integrating these equations for lumped inductors and capacitors.  It is simple, numerically stable, and accurate enough for practical purposes [1].

 

The memory function of the integration process is represented by the current source , which for the inductor is defined as:

 

(3-1)

 

and for the capacitor as:

 

(3-2)

 

Where,

 

Time step

Voltage at node k from the previous time step

Voltage at node m from the previous time step

Current through the branch from the previous time step (node k to node m)

NOTE: Lumped resistors are modeled as a simple resistive branch.

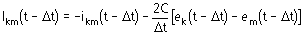
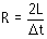
Thus it follows that for a given time step, the current through an inductor or capacitor branch is defined by:

 

(3-3)

 

Where,

 

For an inductor

For a capacitor