Combined Aerial and Underground Cables
The previous section dealt with the formulation of the Y and Z matrices for both overhead lines and underground cables. Although the self impedance and admittance were discussed, the derivation of the mutual impedance between conductors and/or cables was not. This section describes how the mutual impedance between entities, including homogeneous earth return, is calculated in the LCP.
One of the most popular methods developed for earth return impedance in overhead lines, was first published by J. R. Carson in 1926 [1]. The equations involved (now known as Carson’s Equations) contain infinite integrals with complex arguments that are difficult to evaluate numerically [12]. The equation for mutual impedance between aerial conductors with homogeneous earth return is as given below:
|
|
(8-26) |
Where,
|
|
|
|
|
|
|
|
|
|
|
|
|
|
Horizontal position of the ith and jth conductor respectively [m] |
|
|
Vertical position of the ith and jth conductor respectively [m] |
|
|
Vertical position of the ith and jth conductor respectively [m] |
|
|
Radius of the ith conductor [m] |
|
|
|
The first term ZM in Equation 8-24 represents the aerial reactance of the conductor, had the ground return been a perfect conductor. The second term ZG is referred to as Carson’s Integral, which represents the additional impedance due to a lossy ground.

Figure 8-10: Graphical Data used in the Deri-Semlyen Approximation
An ingenious method for dealing with ground return, published by Gary in 1976 [10], introduced the concept of a super conducting, current return plane. This fictitious plane was placed at a complex depth de, also known as the depth of penetration, and provided a mirroring surface where the conductor 'reflections' were used to derive very simple equations for ground return impedance. Although published in 1976, mathematical proofs for these equations did not surface until Deri and Semlyen in 1981 [12]. Basically, what is now referred to as the Deri-Semlyen approximation of Carson’s Integral is as follows:
|
|
(8-27) |
Where,
|
|
|
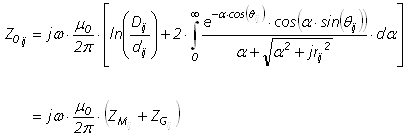
Combing Equations 8-26 and 8-27 results in the following for mutual impedance between aerial conductors,
|
|
(8-28) |
The Line Constants Program provides the user with a choice in representing the ground return impedance in aerial systems. An option is provided to use either the Deri-Semlyen approximation (default), or by direct numerical integration of Carson’s integral (both are shown below in Equation 8-31).
Analytical (Deri-Semlyen) Approximation:
|
Analytical (Deri-Semlyen) Approximation: |
|
(8-29) |
|
Direct Numerical Integration: |
|
Note that although the direct numerical integration method is slightly more accurate, the additional solution time can become quite extensive depending on the complexity of the system if this option is chosen.
The integrals describing the equations for the earth return impedance in a system consisting of buried cables were originally developed by Pollaczek in 1931 [2]. As with Carson’s integral for aerial lines, the Pollaczek integrals are ill-conditioned and are very difficult to evaluate numerically. The Pollaczek integrals define an electric field vector E at an arbitrary point within a homogeneous ground, due to electric current flowing in a buried conductor.

Figure 8-10: Graphical Data used in the Wedepohl-Wilcox Approximation
Equation 8-28 below gives the equation for mutual impedance corresponding to the form given by Pollaczek [7]:
|
|
(8-30) |
In 1973, an analytical approximation to the Pollaczek integral was developed by Wedepohl and Wilcox, who found that up to very high frequencies only a subset of Pollaczek terms need be taken into account. The mathematical proof of their work is quite involved and so only the end result is shown in Equations 8-29 and 8-30 below: Equations for both the self and mutual parts of the earth return impedance is included. For a detailed account of the proof, see [7].
|
|
(8-31) |
|
|
(8-32) |
Where,
|
|
Ground return (earth) relative permeability |
|
|
1.7811 Euler’s constant |
|
|
Outer radius of the ith cable [m] |
|
|
Distance between the centre points of the ith and jth cables [m]. |
|
|
Depth of the ith cable (centre point) below the ground surface [m] |
|
|
|
|
|
Sum of the depths of ith and jth cables [m]. |
As in aerial systems, the Line Constants Program provides a choice in representing the ground return impedance in underground systems. An option is provided to use either the Wedepohl approximation (default), or by direct numerical integration of Pollaczek’s integral (both are shown below in Equation 8-33).
Analytical (Deri-Semlyen) Approximation:
|
Analytical (Deri-Semlyen) Approximation: |
|
(8-33) |
|
Direct Numerical Integration: |
|
Note that although the direct numerical integration method is slightly more accurate, the additional solution time can become quite extensive depending on the complexity of the system.
The theory and construction for aerial cable derivations can be seen from reference [32].

Figure 8-11: Combined Aerial/Underground Cable System in PSCAD
In the above diagram, cables 1 and 2 are underground and cables 3 and 4 are aerial. The Zearth and Pexternal (potential coefficient matrix for external field) matrices are given as follows:
|
|
(8-34) |
The sub matrices Z11, Z12, Z21, Z22 are the self and mutual earth impedance matrices for usual underground cables 1 and 2 (derived from the Pollaczek equations). Z33, Z34, Z43, Z44 are derived based on the Carson equations (as for overhead lines) for cables 3 and 4. The other mutual matrices are derived based on mutual impedance between overhead lines and underground cables (another form of Pollaczek equations).
|
|
(8-35) |
The sub matrices P11, P12, P21, P22 are zero since there is no capacitive coupling between cables. P33, P34, P43, P44 are derived as of overhead lines for cable 3 and 4. Other matrices are also zero since there is no capacitive coupling between overhead lines and underground cables [34].

Figure 8-12: Combined Aerial/Underground Cable System
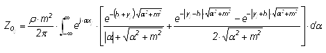
The aerial/underground cable mutual impedance is given as follows.
Assuming:
|
|
(8-36) |
Then,
|
|
(8-37) |
Where,
|
|
More on the mutual coupling between aerial and underground cables can be found in references [32], [33], [34]. The mutual coupling between overhead line and underground cables is given by [32].
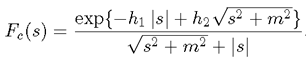
As in both purely aerial or underground systems, the Line Constants Program provides a choice in representing the ground return impedance for combined aerial/underground systems. An option is provided to use either the LUCCA approximation, said to be the most widely used and accurate formula (default), or the Ametani approximation.
|
Analytical (LUCCA) Approximation: |
|
(8-38) |
|
Analytical (Ametani) Approximation: |
|
Where,
|
|
|
|
|
|