In an electromagnetic transients program such as EMTDC (where a fixed time step Dt is assumed), the simulation is started with initial conditions at time t = 0.0 (or from a snapshot file), and then a system solution is found at times t = Dt, 2Dt, 3Dt, etc. until the simulation end time is reached. When considering network branches with distributed parameters such as transmission lines and cables, some historical data must be buffered in order to deal with the finite travel times involved. This is easily taken care of since the system solution at past time steps (i.e. t = t - Dt, t - 2Dt, t - 3Dt, etc.) is already known.
EMTDC uses the Method of Characteristics (otherwise known as Bergeron’s Method) to represent distributed parameter branches, which account for travel time delays, in electric networks. The following section provides a brief overview of this method. For more details, see [6].
Consider an ideal (loss-less) transmission system with an inductance L and capacitance C per unit length. At a point x along the system, the voltage and current are represented as follows:
|
|
(8-89) |
The general solution of for Equation 8-89 can be given in the following form:
|
|
(8-90) |
Where,
|
|
The characteristic impedance [W] |
|
|
The phase velocity [m/s] |
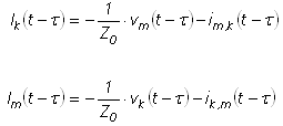
It can then be shown (see [6]) that for a transmission system of length, Equations 8-89a and 8-89b can be re-written in two-port format as:
|
|
(8-91) |
Where,
|
|
|
|
|
The transmission system length [m] |
Equations 8-91a and 8-91b can be represented schematically as Norton equivalent circuits, representing the sending and receiving ends of the ideal, distributed branch:

Figure 8-32 – EMTDC Distributed Branch Interface (Single-Phase)
Where, in the case of an ideal, loss-less system Z = Z0.